본문 바로가기
반응형

직장,법률90

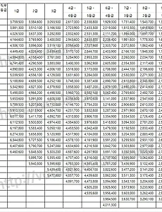
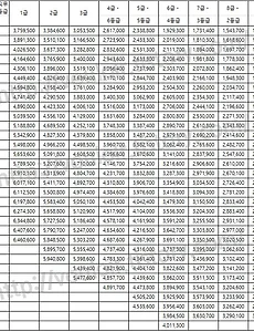
2017 공무원 봉급표 예상 9월 1일자 기사에서 공무원 임금 인상률에 대한 내용이 공개되었더라구요.아직 완전히 공식적으로 확정된 것은 아니지만, 그래도 많이 궁금하니 한 번 적용해서 계산 해 봤습니다.일단 기사에서는 3.5%로 인상하기로 했다고 나오니, 쿨하게~3.5%로 모두 일괄적용해서 표를 만들어봤습니다.2016 공무원 보수표(기본급)에다가 일괄적으로 3.5% 적용해 봤습니다.※ 해당 내용은 공식적인 발표 분이 아닌 기사에 나온 것을 임의로 적용해서 계산해 본 수치입니다.반드시 그냥 참고용으로만 이해하시고, 다른사이트로 퍼감 금지입니다.2017 예상 공무원 봉급표(3.5% 일괄 적용버전)일반직 공무원과 일반직에 준하는 특정직 및 별정직 공무원 등의 봉급표 2016. 9. 7.
2017년 공무원 봉급표, 교육공무원 교사 호봉표, 군인 월급, 경찰 보수표 2016년에 공무원 봉급이 전년 대비 3.0% 인상 되었고, 2015년 인상률은 3.8%.여전히 민간대비 공무원 임금격차는 크고, 연금법 개정으로 공무원 불만 증폭.2017년도 예산 3.7% 증가.대략 이 수준에 맞춰서 2017년 공무원 봉급 인상률은 3.4~3.5% 대로 예상.3.5% 기준으로 계산한 2016년 대비 2017년도 공무원 봉급표 예상표입니다.순수하게 대략적인 예상을 위해서 계산해 본 표이므로 100% 신뢰하지는 마시길 바랍니다. 2016. 8. 24.
공무원 휴가규정 공무원 연가일수 ✔ 제 3 장 휴 가 제17조(휴가의 종류) 공무원의 휴가는 연가, 병가, 공가 및 특별휴가로 구분한다. 제18조(연가일수) ①공무원의 재직기간별 공무원 연가일수는 다음과 같다. 재 직 기 간 연 가 일 수 3월이상 6월미만 3일 6월이상 1년미만 6일 1년이상 2년미만 9일 2년이상 3년미만 12일 3년이상 4년미만 14일 4년이상 5년미만 17일 5년이상 6년미만 20일 6년이상 21일②제1항의 재직기간이란「공무원 연금법」제23조제1항 부터 제3항까지의 규정에 따른 재직기간을 말하되 휴직기간(법령에 의한 의무수행이나 공무상 질병 또는 부상으로 인하여 휴직한 경우를 제외한다)· 정직기간 및 직위해제 기간은 제외한다.③해당년도에 결근·휴직·정직 및 직위해제 사실이 없는 공무원으로서 다음 각 호의 어느 하나에.. 2016. 7. 25.
✔ 근로기준법 연장근로, 근무시간, 연차, 유급휴가 정리 안녕하세요 오늘 밤에 낚시가는 것 때문에 설레이는 낯선공간이에요~. 오늘은 금요일이 시작되었잖아요~ 여러분들도 오늘 하루를 잘 보내시면 드디어 기다리고 기다리던 주말이 찾아옵니다. 이번 주말은 참돔선상낚시를 갈 생각에 벌써부터 설레입니다. 대물을 낚을 주말을 기대하며 오늘 포스팅 시작하겠습니다. 일전에도 포스팅 한 적이 있는데, 2014년 기준으로 우리나라 근로자의 연간 노동시간은 OECD 회원국 중 최고 수준인 2285시간으로 최단시간인 독일보다 900시간 이상 더 많이 일하고 OECD 국가 평균 노동시간보다 300시간 이상이상 일을 한다고 해요. 자료에 따르면 2014년엔 미국은 1790시간, 일본은 1719시간, 독일은 1371시간이고, OECD 국가 중에서 과거 2년간 연간 근무시간을 비교해보면,.. 2016. 6. 24.
2016년 교원봉급표, 교직원, 유치원, 초등 교사 봉급 등 2016 교사 봉급표 호봉표 등 2016년 교육공무원 봉급표, 담임수당 인상, 초과근무수당 단가 (시간외수당) 이제 곧 새 학기가 시작되는 3월이 되죠.2016.02.16 11:22 작성일기준 학생들은 새 학기가 시작되겠지만, 국립(대)학교 교수님들이나 교사, 교직원 등의 교육공무원들은 2016년 인상된 교원 봉급에 관심들이 많으시겠죠? 뭐 일단은 이미 연초에 공무원(교원 교사포함)들 봉급이 3% 인상된 것은 이미 발표도 났고 1월달 월급도 받으셨으니 현직분들은 다들 아실 테지만 임용 교시 준비 중인 분들도 관심이 많으실테니 확정된 2016년 교사 봉급표에 대해 포스팅해 봅니다. 일반직 공무원들의 호봉표는 직급과 호봉에 따라 봉급표가 작성되지만, 유치원, 초등학교, 중학교, 고등학교 교원 등의 교육공무원 봉급표는 직급이 없으니 그냥 단순히 호봉으로만 봉급표가 작성되어 일종의 교원 교사 호봉표가 되죠. 2016년 .. 2016. 6. 7.
국가공무원 복무규정, 지방공무원 복무규정 부터 군인 복무규율까지 공무원의 복무규정은 공무원의 복무에 관한 사항을 규정한 대통령령입니다.공무원의 기강확립과 친절,공정,당직, 그리고 비상근무, 출장 규정, 복장 및 복제, 금지되는 행위, 휴직,휴가 사용 방법 등을 규정하고 있씁니다.각 공무원 직렬별로 특수성을 감안해서 국가 공무원, 지방공무원, 경찰, 군인 복무규율등으로 세분화 되어 규정되어 있습니다.특이하게 군인만 규정이 아닌 규율이라는 제목을 달고 있습니다.번호법령명공포일자법령종류공포번호시행일자제개정구분소관부처1 경찰공무원 복무규정.pdf2014.11.19.대통령령제25751호2014.11.19.타법개정경찰청2 국가공무원 복무규정.pdf2015.3.11.대통령령제26140호2015.3.11.타법개정인사혁신처3 군인복무규율.pdf2014.10.28.대통령령 제25673.. 2016. 5. 30.
반응형