기획재정부가 29일 '2020년 예산안'을 발표했다.
기재부의 예산안에 따르면 국가 공무원 1만8천815명이 된다.
충원 내역은 경찰 6천213명, 군무원·부사관 6천94명, 교원 4천202명 증원
2020년 공무원 봉급 인상률은 2.8%로 정해졌다.
국가 보수위원회가 권고한 가장 최저치를 선택했다.

내년도 공무원 세부적인 채용 인원 내용은 다음과 같다.

2022년 의무경찰 폐지에 따른 대체인력 1천466명
파출소·지구대 순찰인력 512명 증원
여성·청소년 수사 인력 475명이 증원된다.
아울러 군복무 현역 인력 자원 감소를 보강할 군무원 및 부사관 6천94명이 증원된다.
국·공립 교원 4천202명이 증원된다. (특수 교사 1398, 비교과교사 1264, 유치원교사 904명)
생활·안전 분야 2천195명 (질병 검역과 건설·화학 안전, 세관·출입국 관리 등)이 증원된다.
고질적으로 인력 수급이 필요한 소방공무원은 아직 지방직 공무원인 관계로 국가 공무원 충원 계획에는 나타나지 않았다.
정부는 2020년 공무원 임금 인상률을 2.8%로 결정했다.
과거 2015년∼2017년에는 임금인상률이 각각 3.8%, 3.0%, 3.5%로 모두 3%대 임금인상률을 보였지만 문재인 정부 들어 2018년 2.6%, 2019년 1.8%로 인상률이 저조했다.
봉급의 인상보다는 인력의 충원에 더 방점을 둔 스탠스로 보인다.
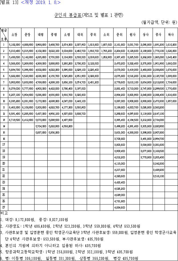
2020 공무원 봉급표는 2020년 1월에 공식적으로 발표가 될 예정이므로, 현재는 2020년 공무원 월급표를 볼 수는 없다.
2020 공무원 봉급표 예상하기에는 2019년에 이어 2020년에도 5급 이상 고위직 공무원의 급여가 동결될 것이라 하니, 최하위직 공무원의 급여는 차등 인상될 가능성이 커서 정확히 예측은 힘들다.
2019년 공무원 월급표를 기준으로 2.8% 정도 더해서 보면 되겠다.








'직장,법률 > 공무원' 카테고리의 다른 글
| 2020년 공무원 봉급표, 소방 경찰공무원 봉급표 2020 9급 공무원 봉급 20년 군인 월급 인상률 2.8% 2020 교사 호봉표 (1) | 2019.12.12 |
|---|---|
| 2019 교원 봉급표 호봉표 & 2020년 공무원 봉급 인상률 (0) | 2019.10.22 |
| 교도관 계급 (0) | 2019.04.23 |
| 일반직 공무원 봉급표 2019 교사 호봉표 19년 교육공무원 교원, 군인 경찰 공안직 공무원 월급 (0) | 2019.01.17 |
| 2018년 공무원 봉급표이 포함된 공무원 보수규정 시민단체 경력 호봉 인정 제외 재입법예고 (0) | 2018.01.09 |