2020년 공무원 봉급표 2020 교원 호봉표 연구직 지도직 공안직 공무원 판사 검사 월급표 대통령 연봉

인사혁신처 2020 공무원 봉급표

2020 우정직 공무원 봉급표

2020년 공안직 공무원 봉급표

2020년 연구직 공무원 봉급표 2020 국정원 직원 봉급표(국가 정보원 전문관 월급)

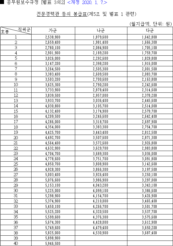
전문경력관 봉급표

지도직 공무원 호봉표

2020년 경찰 급여표, 2020 소방공무원 봉급표

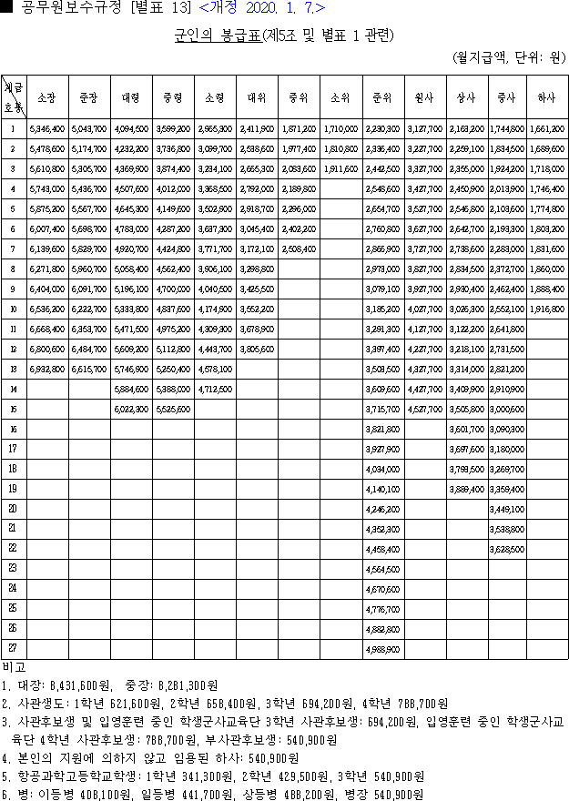
2020 군인 월급

2020 교원 봉급표 2020 교사 월급

20년 교수 연봉

헌법연구관 봉급표

2020년 검사 연봉 계산을 위한 2019 검사 월급

2020 판사 월급

2020년 대통령 연봉, 국무총리 연봉, 장관 연봉
반응형
'직장,법률 > 공무원' 카테고리의 다른 글
| 공무원 정근수당 가산금 (0) | 2024.03.13 |
|---|---|
| 2020년 교사 성과급 지급시기와 금액 2020 교원, 교육공무원 성과상여금 (0) | 2020.02.10 |
| 2020년 공무원 봉급표, 소방 경찰공무원 봉급표 2020 9급 공무원 봉급 20년 군인 월급 인상률 2.8% 2020 교사 호봉표 (1) | 2019.12.12 |
| 2019 교원 봉급표 호봉표 & 2020년 공무원 봉급 인상률 (0) | 2019.10.22 |
| 2020년 공무원 봉급 인상률 2020 공무원 봉급표 예상 (0) | 2019.08.29 |