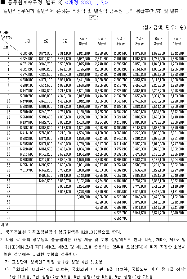
2020년 공무원 봉급 인상률 2.8% 인상 예정인 것을 감안해서 2019년 공무원 호봉표에 2.8%씩을 더한 2020 공무원 봉급표입니다.
2020 9급 공무원 봉급 2020년 공무원 봉급표


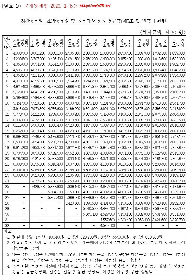
2020 소방공무원 봉급표 2020 경찰공무원 봉급표

순경 월급이 163만원 선.

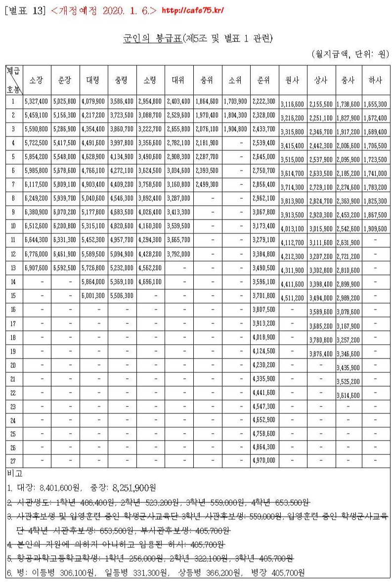
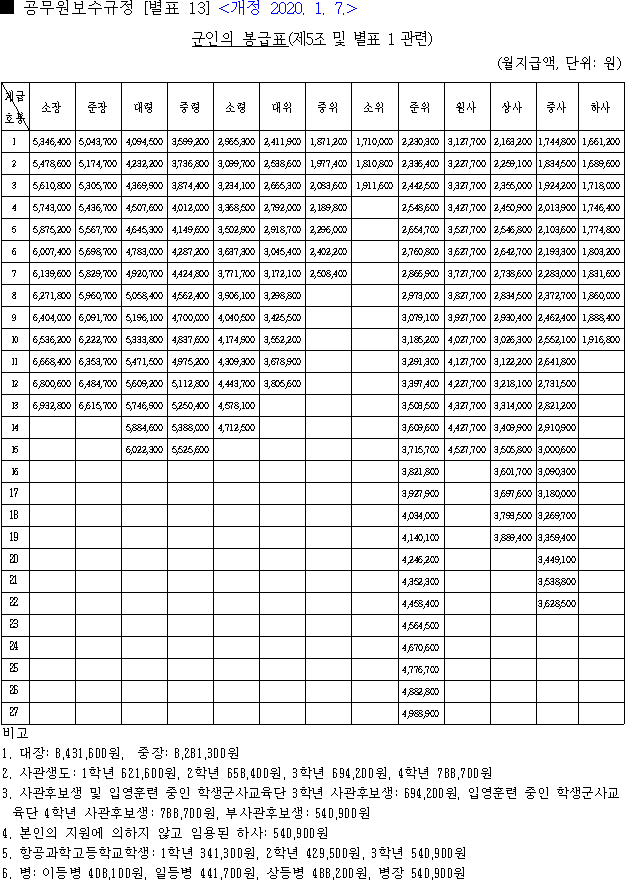
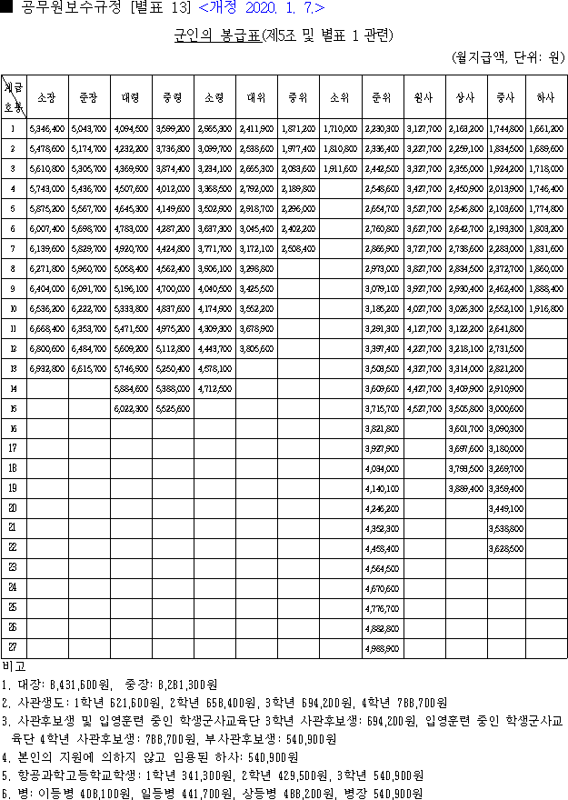
2020년 군인 월급

대장 봉급이 840만원을 넘고, 중장도 825만원 수준.

병사 월급은 위 표에 표기된 것 보다 30% 정도 인상 예정.
2020 교사 호봉표



✔ 2016년 공무원 봉급 인상이 3%로 예정된 가운데, 9급 공무원 봉급 인상률은 3.3%~4.2% 차등 인상 예정이다.
5급 공무원 시험을 통해 고위공직자가 된 공무원 봉급표는 모두 성과연봉제를 적용받게 될 전망이다.
2016년 공무원 봉급표 예상 월급표
위 월급표는 일률적으로 3.0%로 잡혀 있다.
하지만 9급 1호봉부터 4호봉까지는 4.2%, 3.9%, 3.6%, 3.3% 씩 차등 인상될 전망이다.
경찰공무원 봉급표, 소방 공무원 봉급표도 마찬가지로, 9급에 해당하는 순경과 소방사 1호봉부터 4호봉까지는 같은 비율로 차등 적용 인상될 예정이며, 업무 난이도가 높은 직렬의 인상률이 더 높게 조정될 전망이다.
좀 더 자세한 내용은 아래 링크를 참조.
군인, 교사, 공안직 공무원 봉급표 등은
위의 링크를 참조.
반응형
'직장,법률 > 공무원' 카테고리의 다른 글
| 2020년 교사 성과급 지급시기와 금액 2020 교원, 교육공무원 성과상여금 (0) | 2020.02.10 |
|---|---|
| 2020 공무원 봉급표 2020년 경찰 급여표 (0) | 2020.02.09 |
| 2019 교원 봉급표 호봉표 & 2020년 공무원 봉급 인상률 (0) | 2019.10.22 |
| 2020년 공무원 봉급 인상률 2020 공무원 봉급표 예상 (0) | 2019.08.29 |
| 교도관 계급 (0) | 2019.04.23 |